
Недавно Лисичанская ВГА утвердила Программу децентрализации системы теплоснабжения города на 2021-2024 годы, которая предусматривает отключение от централизованного отопления многоквартирных домов.
Программа была утверждена распоряжением № 922 руководителя ВГА, ее можно скачать с официального сайта, передает Час Пик.
Предпосылками для принятия этой Программы стало то, что КП "Лисичансктеплосеть" находится в глубоком финансовом кризисе, предприятие не может в полной мере оплатить потребляемый газ и имеет многомиллионные долги. Из-за высоких тарифов население Лисичанска часто не может оплачивать услуги и постоянно обращается в ВГА с заявлениями о переходе на индивидуальное отопление. В свою очередь, переход значительного количества абонентов на "автономку" привел к разбалансировке сетей теплоснабжения и нерациональному расходу энергоресурсов.
Как отмечается в документе, на сегодня городской бюджет не имеет возможности постоянно оказывать поддержку теплосети, поэтому назрел вопрос децентрализации системы теплоснабжения города в целом и отключения от сетей централизованного отопления отдельных жилых домов, которые имеют многотысячные долги без перспективы погашения.
Предусмотрено 4 этапа реализации Программы, первый из которых должен быть выполнен уже в этом году.
1-й этап - 2021 год
На днях ВГА Лисичанска утвердила список домов, которые будут отключены от централизованного отопления в рамках 1-го этапа Программы децентрализации системы теплоснабжения.
Стоит отметить, что в приложении к Программе, в списке на отключение 1-го этапа значилось 37 домов, но в список, который ВГА опубликовала на днях, попало лишь 28 домов.
Адреса, по которым уже в этом отопительном сезоне не будет подаваться централизованное отопление, указаны в таблице ниже.
Программа предусматривает обеспечение приборами индивидуального отопления социально незащищенных граждан, проживающих в данных домах.
Ориентировочная стоимость реализации 1-го этапа Программы - 3,65 млн грн, источник финансирования - местный бюджет.

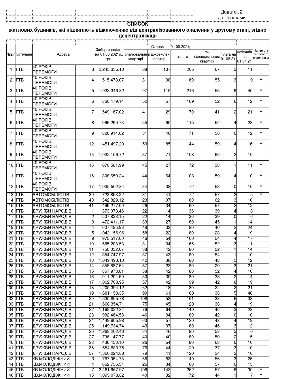
2-й этап - 2022 год
На втором этапе Программы, срок выполнения которого - 2022 год, запланировано закрытие котельной РТИ и отключение от централизованного отопления 107 домов в южных микрорайонах. Полный список адресов в таблице ниже.
Социально незащищенные слои населения обещают обеспечить приборами индивидуального отопления.
Объекты социальной инфраструктуры будут переведены на автономное отопление посредством строительства модульных котельных. Среди таких объектов: ВПУ №94, школы №№ 27, 12, 30, 13, детсады "Искорка", "Светлячок", "Чайка", спорткомплекс ДЮСШ, нефтехимический техникум, строительный лицей, общежитие медучилища.
Источник финансирования 2-го этапа Программы - областной бюджет, ориентировочная сумма затрат - 90,85 млн грн.


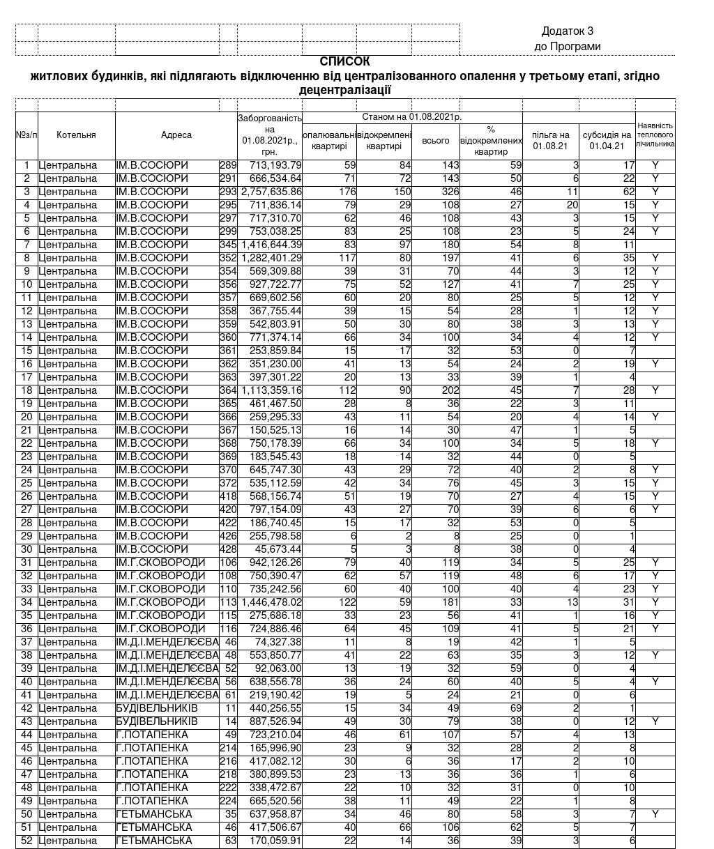
3-й этап - 2023 год
Третий этап Программы предусматривает закрытие центральной котельной по ул. К. Маркса и отключение от централизованного теплоснабжения 106 домов в центре города, список которых представлен ниже.
На этом этапе также предполагается обеспечить приборами индивидуального отопления социально незащищенных жильцов данных домов.
Для обеспечения теплом бюджетных учреждений будут построены отдельно расположенные модульные котельные. Среди таких учреждений - больница Титова, поликлиника, лицей, горный техникум, музыкальная школа, детсады "Бирюза", "Росинка", "Улыбка", школы №8 и №14, нефтехимический техникум, станция скорой помощи, загс, пограничный отряд, станция юных техников, спортзал.
На реализацию 3-го этапа Программы должно быть выделено 132,8 млн грн из областного бюджета.


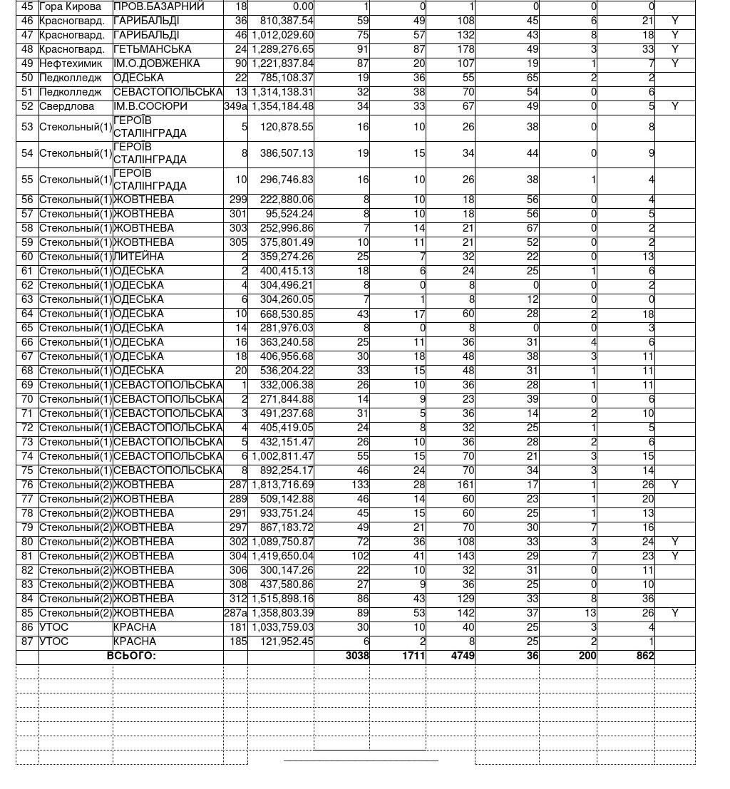
4-й этап - 2024 год
На последнем этапе Программы предусмотрено отключение от централизованного отопления 87 домов в районах Стекольного, Горы Поповой (Кирова), 41 микрорайон и некоторых домов в центре. Предполагается обеспечение приборами индивидуального отопления квартир социально незащищенных слоев населения.
В 2024 году планируется закрытие ряда котельных: 41 микро, Красногвардейская, Ворошилова, БМК Кирова Гора, Крупская, "Нефтехимик", "Стекольный-1", "Стекольный-2", "Приволье-1". Еще несколько котельных ждет реконструкция.
На реализацию 4-го этапа планируется потратить 82,05 млн грн из областного бюджета.


















